2008年から建築設備CAD「Rebro(レブロ)」に特化し、設備BIMモデル構築・施工図作成の実務支援を提供。多様なプロジェクトに対応し、スキルアップ研修や企業向けカスタマイズ講習で作図効率とBIM活用力を高めます。操作だけでなく“現場で使えるBIM”を重視し、導入相談からデータ構築まで一貫サポート。NYKシステムズ認定正規販売代理店/サポートリンク登録。

090-3675-0666

06-6335-9600

電話に出れない場合がございますので、

初めての方はこちらよりお願いします

大阪市北区菅原町5番3号大宝中之島ビル1006

登録番号: T3120001192549

  1. 業務内容
  2. レブロネクストがお勧めするRebroの機能
  3. 作図テクニック
  4. 3.製図者にとっての便利機能

3.製図者にとっての便利機能

使えば使うほど効率UPするCADがRebro

従来のCADはドラフター(死語ですね…)製図版の代わりだったため、納まりを検討した上、正しい情報を入れてきました。

しかし、実際には変更の多く図面の整合さを保つことが難しくなり、精度が落ちていることにRebroは目をつけ編集機能を高めました。

その為、作図効率向上・整合性維持だけでなく、CAD上で納まりを検討することが可能になっています。それは、勾配の付いた配管を修正すると他のCADでよく修正できていたなぁと感じることでしょう。

その一部を紹介すると、出図後の修正も断面の納まりをダイレクトに確認しながら編集できます。

貼付けた断面ではないため、勾配のついた配管も断面から編集することも可能です。これらの情報はすべて連動されているため、断面で変更した情報は平面図のサイズ記入も変更されています。

 

従来のCADでは感じることがなかった模型を作っている感覚を持つのは、それぞれ系統として扱われる点です。

系統ごとに名称・管材・線種・色を設定が可能の為、物件の状況(既設・撤去・新設・業者A・業者Bなど)をダクト・配管に設定することが可能です。

変更に対しても、管材の変更・サイズ変更・高さ変更などの編集時に、指定するレイヤー以外をOFFにするような

下準備が必要なく、直感的にルートを選択できます。

これは、他社とのコミュニケーションも干渉検査・CGを使用しながら、CADで行うことが可能です。

平面断面連動

平面断面連動は作図過程だけではなく、修正図も連動しています


平断面連動機能が連動のポイント!

  • 作図中、出力後の修正図とも、どの角度からの編集が可能ですべて同時連動
  • 勾配配管の断面での移動・編集・追加も可能
  • 断面の表示範囲も変更しても連動された情報が表示


レイアウト作成が簡単

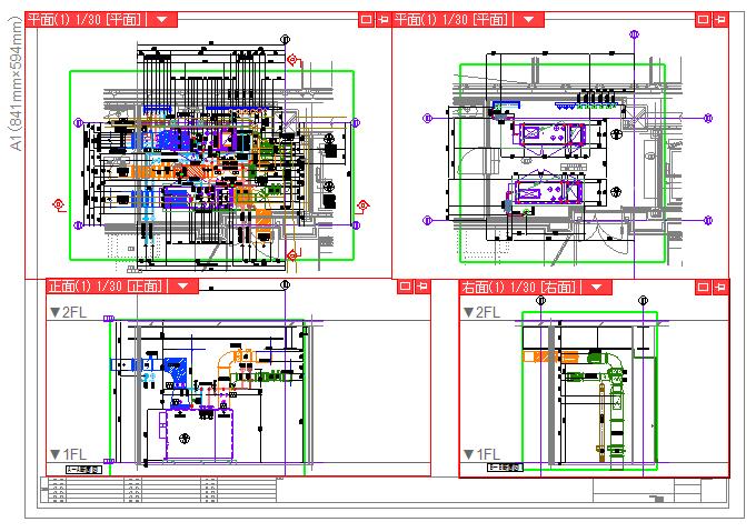
機械室・PS詳細図

機械室のレイアウトでは

  • 左上)で全体の平面図
  • 右上)基礎と機器配置・ドレンを表示
  • 左下)正面断面図
  • 右下)側面断面図

全て連動されているため、どの角度からも修正が可能です




PS詳細図は、1F〜3Fの平面図・断面図を表示しています。大きさ・枚数が自由にレイアウト出来るため、どの物件にも対応が可能です。

このレイアウトも全てが連動されているため、断面で竪管を移動すれば、1F~3Fの平面が変更されます。同じように2F平面図の詳細図で変更すれば、断面図も変更します。



作成したレイアウトを登録すると、他の階で使用


ここがポイント!

ポイント
01

フロアごと(階層)のレイアウト


ポイント
02

1フロアの分割(施工図)レイアウト


ポイント
03

1フロアと部分詳細(異なる縮尺)のレイアウト


ポイント
04

PS詳細図のフロア・階層断面(複数階PS詳細図)のレイアウトなど自由自在で簡単に作成できます。


ポイント
05

1Fで作成したレイアウトを2F・3Fに使用することができます。


製図者の目

図面に表現されないレイアウト作成は、2ステップで作成出来るため時間短縮できます。また、自由自在に出来るため、ダクト図・配管図・衛生詳細図など、図面名ごとに、枚数・大きさを自由自在でレイアウトを作成します。モデル空間⇔ペーパー空間の区分が無いため、どのレイアウトからも作図・修正が可能のため、修正図での効率もよくチェックバックの修正も出図レイアウトで編集ができるため担当者が変わっても作業がスムーズに行うことができます。

竣工後、図面を開いた際も出図状態で登録出来るいるため、作図担当者以外がファイルを開いても出図に困ることがありません。